株式会社バスクリンのプレスリリース
- 背景
現在、バスクリンでは「入浴」を起点とした生活リズムづくりをご提案しています。これまで、入浴剤を使用する親子は、使用しない親子と比較し、睡眠状態が良好であること※1、入浴剤の使用が、早寝、早起きなど生活リズムづくりに関連する可能性があること※2を報告してきました。一方、未就学児をもつ養育者を対象に、子どもの入浴実態調査を行ったところ、40%以上の子どもが、普段さら湯浴(入浴剤を使用しない入浴)で済ませていることが分かりました※2。そこで、普段入浴剤を使用しない親子に着目し、入浴剤の使用を習慣化することによる、親子の睡眠状態や生活リズムへの影響を4週間かけて詳細に解析を行いました。
※1:浴用剤使用が親子の睡眠の質を上げ、QOLの向上寄与に有用な可能性~第44回日本睡眠学会定期学術集会にて発表~ 2019年
※2:入浴が保護者と幼児の生活習慣、QOL、子育て、しつけ、教育に有用な可能性~第78回日本公衆衛生学会総会にて発表~ 2019年
- 結果まとめ
普段入浴剤を使わない親子が、無機塩を含む炭酸ガス入浴剤を使用した入浴を習慣化することで、
①母親の睡眠状態が有意に改善し、不眠症の疑いがある人の数は、試験前(12人)から2週間後(7人)、4週間後(3人)と減少が確認されました。
②母親の睡眠による疲労回復感に好影響を及ぼすことが示されました。
③子どもの睡眠状態や生活リズムに好影響を及ぼすことが示されました。
④子どもの日中の様子に好影響を及ぼすことが示されました。
- 方法
普段入浴剤を使わない18組の母親とその子(母親の年齢:30~45歳、子どもの年齢:4~5歳)を対象に、4週間毎日、無機塩を含む炭酸ガス入浴剤を使用してもらい、39~40℃で10分間の全身浴を実施しました。
母親の睡眠状態について、試験前と2週間後、4週間後にアテネ不眠尺度※3を使用した自己評価を行いました。また、母親の睡眠の満足感については、4つの項目について、母親自身が毎日点数化することにより評価を行いました。子どもの睡眠状態や日中の様子は、母親が評価項目に沿って毎日点数化することにより評価を行いました。
※3:世界保健機関(WHO)が中心となり設立した「睡眠と健康に関する世界プロジェクト」が作成した不眠症の自己チェックシート。得点が高いほど不眠症の疑いがある。
- 【結果1】 親子の睡眠状態が改善
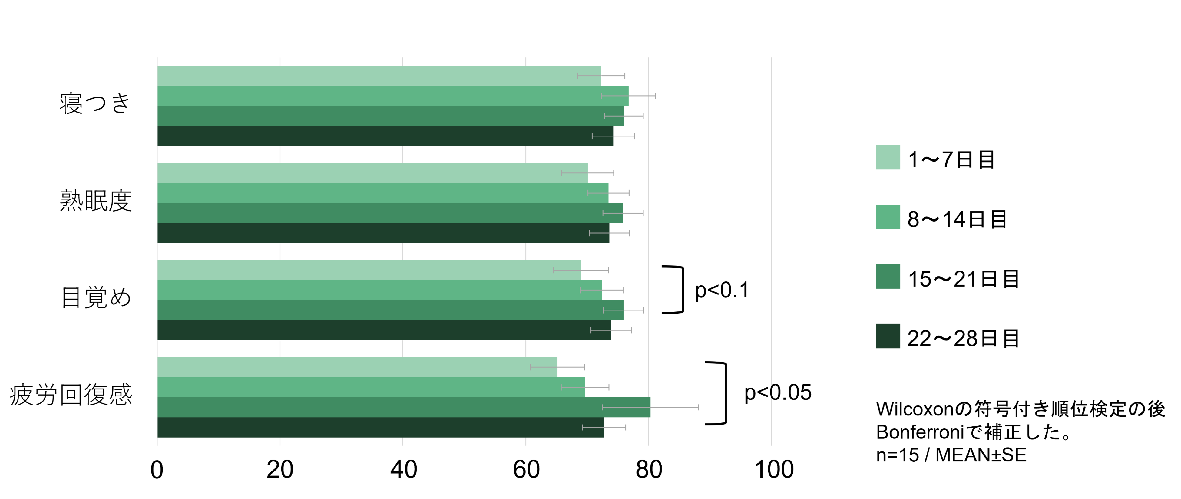
試験前から4週間後にかけて、母親の睡眠状態が有意に改善することがわかりました(図1)。また、不眠症の疑いがある人(4点以上の人)の数は、試験前(12人)から2週間後(7人)、4週間後(3人)と減少が確認されました(図1)。また、母親の疲労回復感については、1~7日目から22~28日目にかけて有意に高まることが確認されました(図2)。

図1 試験期間中の母親の睡眠状態の変化
(●:各回答者の得点、棒グラフ:得点の平均値)
(1~3点:睡眠がとれている、4~5点:不眠症の疑いが少しある、6点以上:不眠症の可能性が高い)

図2 母親の睡眠に関する満足感
(100点満点で点数化)
子どもの睡眠状態については、睡眠時の4つの項目について、母親が毎日点数化したものを1週間ごとに平均化しました。その結果、「寝汗をかかなかった」について、22~28日目は1~7日目から改善しました(図3)。また、子どもの起床時刻について、22~28日目は1~7日目よりも早まり、入浴剤を使用した入浴の習慣化が子どもの睡眠状態や生活リズムについても好影響を及ぼすことが示されました(図4)。

図3 子どもの睡眠状態に関する評価
(普段より悪かった:-5 ~ 普段より良かった:+5 で点数化)

図4 子どもの起床・就床時刻
(母親が毎日測定)
- 【結果2】 子どもの日中の様子が改善
子どもの日中の様子は、6つの項目について、母親が毎日点数化したものを1週間ごとに平均化しました。その結果、全ての項目について、22~28日目は1~7日目よりも値が高いことがわかり、入浴剤を使用した入浴の習慣化が子どもの日中の様子にも好影響を及ぼすことが示されました(図5)。

図5 子どもの日中の様子に関する評価
(普段より悪かった:-5 ~ 普段より良かった:+5 で点数化)
- まとめ
本試験の結果から、普段入浴剤を使用していない親子が、入浴剤を使用した入浴を習慣化することで、睡眠状態の改善や子どもの生活リズムの良好化、ストレスの軽減につながる可能性が示されました。今後、この発見やこれまでの知見を基に、お風呂の楽しみ方を学び、親子のコミュニケーションを図る「浴育」についても研究を重ね、親子のくらしをサポートしてまいります。
◆株式会社バスクリンは、入浴に関する様々な情報を発信しています。
・健やかで心地よい生活をサポートするTipsをお届け 「~健康応援マガジン~ カラダととのエール」
< https://www.bathclin.co.jp/health-column/ >
・商品開発の裏側や入浴について、楽しくお伝え 「バスクリン ほかほかチャンネル」
< https://www.youtube.com/channel/UC4UhwLOGEUKLpHfp6yV7CSQ >
株式会社バスクリンは「健康は、進化する。」をスローガンに、お客様の健やかで心地よい生活の提供をめざしてまいります。

