コガソフトウェア株式会社のプレスリリース
コガソフトウェア株式会社(本社:東京都台東区、代表取締役:古賀 詳⼆ 以下、コガソフトウェア)は、健康に関心の低い方々に向けて、ヘルスケアDXシステムを活用したフレイル予防プログラムの提供を開始します。
コガソフトウェア・日本ハム株式会社(本社:大阪市北区、代表取締役社長:畑 佳秀 以下、日本ハム)・株式会社平和堂(本社:滋賀県彦根市、代表取締役社長執行役員:平松 正嗣 以下、平和堂)の3社により、学校法人関西医科大学(所在地:大阪府枚方市 以下、関西医科大学)において「食と運動で健康を科学する」社会連携講座共同研究契約を締結しました。
本講座では「健康無関心層に行動変容を促し生活習慣改善を実現すること」を目指し、食品スーパーという場を拠点とすることで、健康無関心層でも買い物ついでに継続できる、フレイル予防プログラム(以下、本プログラム)を構築します。

本プログラムは、2023年3月末~6月末の毎週火曜日に平和堂のショッピングセンター、アル・プラザ彦根(滋賀県彦根市)店内で全12回のプログラムとして開催します。食品スーパーという皆様が立ち寄りやすい場所を活かし、65歳以上のシニア層を対象に「正しい食の知識の指導」を日本ハム、「医学的知見に基づいた運動指導」を関西医科大学が行います。
参加者・指導者をコガソフトウェアが開発したヘルスケアDXシステム「メディカルフィットネス®」にて情報連携することで、安全で効果の高いフレイル予防プログラムを提供します。
【本プログラムの実施要項】
1.開催日・時間
2023年3月28日~6月27日の毎週火曜日(全12回開催で一つのプログラムです)
3月28日(火)、4月4日(火)、4月11日(火)、4月18日(火)、
4月25日(火)、5月2日(火)、5月9日(火)、5月16日(火)、
5月30日(火)、6月6日(火)、6月13日(火)、6月27日(火)、
※5月23日、6月20日の開催はありません。初回と最終回は測定が中心となります。
※今回分の募集は終了しておりますが、第二クール(7月~)については募集を行っています。
2.開催場所
アル・プラザ彦根 4階 みんなの広場
3.参加対象者
・65歳以上を目安とし、HOPカードをお持ちの方
・全12回のプログラム全てにご参加いただける方
・事前にアンケートにお答えいただき、個人情報の提供・活用に同意いただける方
※参加費・教材費・貸与するデバイス利用費は無料です。
4.実施内容
教室では正しい食の知識の提供と医学根拠に基づいた運動プログラムを実施。
・運動:関西医科大学付属病院の健康運動指導士とオンラインを中心に指導
・栄養:日本ハムと関西医大の知見を備えたスタッフが正しい知識をご提供
■「食と運動で健康を科学する」社会連携講座共同研究プロジェクトについて
食と運動の好循環による健康社会モデル構築を目的とし、社会連携講座共同研究契約を締結したコガソフトウェア、関西医科大学、日本ハム、平和堂が連携して行うプロジェクトについてご報告いたします。
【プロジェクトの背景】
シニア層の加齢による筋肉量減少症状「サルコペニア」はフレイル(虚弱)に繋がりやすく、コロナ禍の外出自粛生活による運動不足から「コロナフレイル」と呼ばれる生活習慣病・認知症・心筋梗塞等のリスクがこれまで以上に高まっております。これらのリスクは健康面での問題だけでなく医療費や介護給付金の増加によって、平成30年の試算では2040年に社会保障給付費190兆を到達すると言われており、データが発表されたのがコロナ禍以前である事から、実際はそれ以上に財政がひっ迫される事が予想されます。
【2012年よりヘルスケアDXに取り組むコガソフトウェア】
コガソフトウェアではヘルスケア領域における社会貢献事業として2012年より学校法人関西医科大学と共同でヘルスケアDXのシステム開発に取り組んでおります。これまでに「AIによる運動薬発行システムの開発および医療費抑制効果の検証」「運動・栄養指導指示書(運動処方箋)発行機能の開発」などを行い、2020年~2021年には大阪府阪南市で医療機関と連携した運動療法提供のサービスモデルを構築して参りました。
それらの検証やデータから課題として浮かび上がったのが「運動無関心層」の存在です。厚生労働省による「特定健康診査・特定保健指導の実施状況」では40歳以上の特定検診が50%を下回る事が報告されており、健康診断を全く受けていない層が一定数存在する事が確認されています。


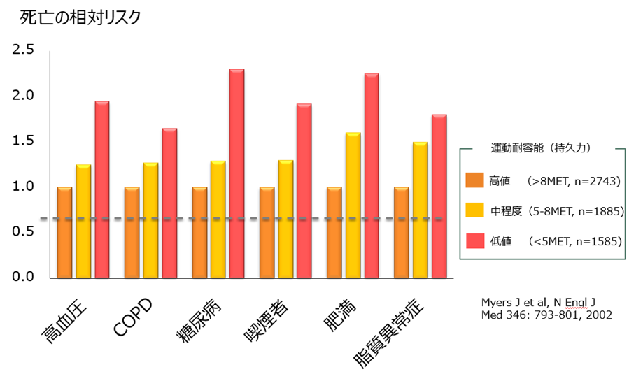
生活習慣病患者は運動能力(持久力)が低いと相対的に死亡リスクが高まる事から、運動無関心層に運動を促す事が大切で、その上で「医師による声掛け」は効果的ですが、医師は運動の専門家ではないため、運動の内容を具体的に指導する事はできません。そこでコガソフトウェアでは健康スポーツ医(※1)が個人に適切な運動量を処方する運動療法「EIM(運動薬・運動処方※2)」に着目。それを促進するヘルスケアDXシステムを構築いたしました。
※1 健康スポーツ医=運動を行う人に対して医学的診療のみならずメディカルチェック、運動処方を行い、さらに各種運動指導者等に運動に関する医学的な指導助言を行うことができる、日本医師会が認定する資格を持つ医師。
※2 EIM=「Exercise is Medicine.(運動はお薬です)」の略。2007年に米国スポーツ医学会(ACSM)によって設立され、世界40か国以上で採用されている。

本プロジェクトでは参加者のシニア層の健康チェック(バイタル計測、運動機能テスト)を行い、専門システムから健康スポーツ医にデータを送信。そのデータを踏まえて作成した運動・栄養指導指示書(運動処方箋)を運動指導者に事前に配布。シニア層や生活習慣病患者でも安全で効果的な運動プログラムを提供します。

【ヘルスケアDXで健康増進ビジネスモデルを構築】

生活習慣病のリスク回避には毎日の食事で意識的にタンパク質をとり、適度な運動を加えて筋肉量を増加・維持していくことがとても重要です。コガソフトウェアではヘルスケアDXを通じ、スポーツ・運動療法および身体活動量増進の介入を日本の医療システムの中に統合することで地域の健康を促進する事で社会課題を解決へ導き、持続可能な社会づくりを目指します。
■コガソフトウェア株式会社について
システム開発のコガソフトウェアは、コンピュータシステム開発等を通じた日本国の発展並びに日本国民の福祉への寄与を経営理念とし、持続可能な社会保障の実現に取り組んでいます。ソフトウェア・インフラ開発事業を事業の柱に据えるとともに、蓄積した技術・知識を応⽤することで、交通、健康、環境の領域で社会貢献事業に取り組んでいます。会社設⽴以来、資格取得を⽀援することで、全社員の技術レベルの向上に注⼒し、精鋭技術者集団となることを目指します。
【会社概要】
コガソフトウェア株式会社
本社所在地:〒110-0005 東京都台東区上野1-17-6 広小路ビル4階
電話番号:03-3833-0733
設⽴:2000年3⽉21⽇
代表取締役:古賀 詳⼆
事業内容:システム開発および社会貢献事業
URL:https://www.kogasoftware.com/
【本件に関するお問い合わせ】
コガソフトウェア株式会社 ヘルスケアサービス部 担当:藤崎
Eメール: helpdesk@kogasoftware.com
電話番号:03-3833-0733
※営業に関するお電話はご遠慮下さい。

