~RIZAPプログラムの有用性をchocoZAPのサービスにも反映へ~
RIZAPグループ株式会社のプレスリリース

RIZAPグループ株式会社(代表取締役社長 瀬戸 健、本社:東京都新宿区、以下「RIZAPグループ」)の連結子会社であるRIZAP株式会社(以下、「RIZAP」)は、神奈川県立がんセンター(住所:神奈川県横浜市)、神奈川県立保健福祉大学(住所:神奈川県横須賀市)およびジェノプランジャパン株式会社(本社:福岡県福岡市、代表取締役:孟昇湧)は2021年4月より、4者共同で、「肥満の遺伝学的リスクスコアと食事・運動介入プログラムの効果に関する研究」を行ってまいりましたが、この度、RIZAPが提供する低糖質食事法とレジスタンス運動(筋力トレーニング)※1のプログラムが、肥満関連遺伝学的リスクスコアの高低に因らず減量に有意であるという結果を得ることができましたのでご報告いたします。
本研究で得られたRIZAPプログラムの有用性を、スマートライフジム「chocoZAP」のAIアドバイザーをはじめとするアプリサービス等にも活用し、健康で自己実現の可能性にあふれる社会づくりに貢献してまいります。

※1 レジスタンス運動とは…筋肉に抵抗(レジスタンス)をかける動作を繰り返しおこなう運動方法。
■共同研究の背景
厚生労働省※2によると、老衰を除く令和4年の死因は、悪性新生物(腫瘍)、心疾患、脳血管疾患の順となっており、それら三大生活習慣病が死因の過半数を占めています。生活習慣病と肥満は深く関っており、それらは体質(先天的な遺伝子スコアに基づくリスク)と環境要因(後天的な生活習慣等)との交互作用によって生じるといわれています。
これまでBMIとの関連が報告されている遺伝学的リスクは、横断的なBMIに関するリスクを評価しており、体重変化量や介入による減量の効果との関連に関する科学的なエビデンスは不足しています。そこで、先天的に遺伝学的肥満リスクが高い方にも、後天的な肥満への対策に関する知見を得て、それらをサービスに還元できれば、肥満対策の可能性を示すことができ、ひいては健康寿命の延伸という社会課題の一助になりうると考えました。これは、『「人は変われる。」を証明する』を掲げるRIZAPグループの理念の実現にもつながります。このような背景を踏まえ、本研究では、肥満の遺伝学的なリスクによって、生活習慣(食事と運動)とBMIとの関係を明らかにするというテーマで、肥満関連遺伝子研究が専門の神奈川県立保健福祉大学の成松宏人教授、中村翔准教授、遺伝子検査を専門分野とするジェノプランジャパン株式会社、神奈川県立がんセンター、そしてプログラムを提供するRIZAPの4者で協力体制を作り、125人の協力者の同意を得て研究を行いました。
※2 2023年6月2日 厚生労働省「令和4年(2022) 人口動態統計月報年計(概数)の概況」
https://www.mhlw.go.jp/toukei/saikin/hw/jinkou/geppo/nengai22/dl/gaikyouR4.pdf
■研究計画
• RIZAPのプログラム(低糖質食事法とレジスタンス運動※1)の効果× BMI 関連遺伝学的リスクスコア※4(GRS※5)
• RIZAPプログラムとGRSとの関連を明らかにする → RIZAPプログラムの個別化
• GRSを開始時に検査してRIZAPプログラムを最適化する
┗一環として、プログラム開始時のGRSとBMI、体肪率に基づく包絡分析(DEA)※6を用いた解析
※4 遺伝学的リスクスコア:Akiyama et al. Nat Genet. 2017; 49: 1458-67.に基づく、遺伝子の多座位における変異有無の加重和
※5 GRS:Genetic Risk Scoreの略。肥満や疾病に影響がある遺伝的リスクスコアのこと
※6 DEA:包絡分析法(Data Envelopment Analysis)経営工学分野でよく利用され、意思決定主体の効率性を相対的に評価する分析手法 (Charnes et al. 1978)
■研究結果
2018年6月から2020年2月までにRIZAPのプログラムを開始した125名のデータが解析可能で、女性が104名(83.2%)でした。平均(標準偏差)の年齢、GRS、プログラム開始時BMI、体脂肪率は、それぞれ 46.5 (9.8)歳、4.5×10-3(0.2)、27.6 (5.5)kg/m2、36.0 (8.8)%でした。プログラム実施前後でのBMI変化率の平均(標準偏差)は-0.1 (0.1)%、体脂肪率変化率の平均(標準偏差)は-0.2 (0.2)%でした。
RIZAPプログラムの効果とGRSとの関連を解析した結果、GRS が1標準偏差上昇することに対するBMIと体脂肪率の減少率(95%信頼区間)はそれぞれ、-1.18 (-2.85, 0.49)% (P値 = 0.169)、-1.69 (-4.85, 1.47)% (P値 = 0.296)でした。DEAによって計算した効率値が1標準偏差上昇することに対するBMIと体脂肪率の変化率(95%信頼区間)はそれぞれ、3.70 (2.15, 5.25)%, <0.001)、2.69 (-0.45, 5.83)%, (P値 = 0.095)でした。

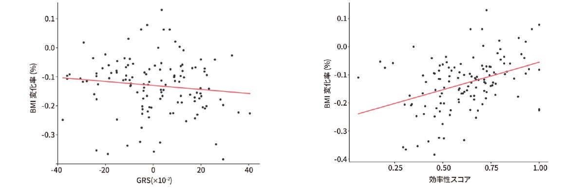
【左グラフ】縦軸:RIZAPプログラムによるBMIの変化率、横軸:遺伝学的肥満リスクの高低
まんべんなく全体的に分布が見られる。これはBMIの変化率は遺伝学的肥満リスクの高低に因らないことを示している。
【右グラフ】縦軸:RIZAPプログラムによるBMIの変化率、横軸:遺伝学的肥満リスク、BMI、体脂肪率に基づく包絡分析(DEA)で解析した
効率性スコアの高低
効率性スコアとBMI変化率に正の相関が見られる。効率性スコアが低いほど、プログラム前後のBMI変化率が大きいことが分かる。
■結論
今回の解析では、GRSとプログラムの効果との間に関連を認めませんでした。言い換えると、現在の横断的なBMIに関するGRSの高低がプログラムの効果に影響するという根拠を認めませんでした。一方で、DEAにおいてGRSを入力変数として用いて計算した効率性スコアが低いと、プログラム前後のBMI変化率が大きいという関連が観察されました。GRS単独ではプログラムの効果との関連は認められませんでしたが、効率性スコアというGRSを加味したBMIの評価により、プログラムの効果がより得られやすい、あるいは得られにくい可能性のある集団が判別可能となり、この知見をRIZAPプログラムの最適化に応用できる可能性が示唆されました。
■研究結果を踏まえたRIZAPおよびchocoZAPサービスの進化
遺伝学的肥満リスクが高い人においても、低糖質食事法とレジスタンス運動(筋力トレーニング)※1を行うRIZAPのプログラムにより減量が可能であるという結果が得られました。これにより、先天的に生まれ持った遺伝学的肥満リスクはBMIには影響するものの、「遺伝的に自分は痩せられない、減量は諦めるしかない」というものではなく、後天的な食事と運動等の生活習慣の改善により、減量は可能であることが分かりました。これは、創業以来RIZAPが培ってきた「食事・運動・メンタルサポート」を柱とするRIZAPメソッドの有用性を支持するものです。
また同時に、DEAを用いた遺伝学的肥満リスクとBMI・体脂肪率の解析によると、RIZAPプログラムによる減量の効率性との関連があるという結果が得られました。これらの知見は、遺伝学的肥満リスクと体重変化量や介入による減量の効果との関連に関する科学的なエビデンスです。肥満と生活習慣病には深い関りがあるという社会実情を鑑みると、肥満を防ぐことはすなわち、疾病の発症前の予防と関わっており、社会的な還元価値のある研究であると言えます。
本研究で得られた知見を、今後はRIZAPサービスのますますの研鑽に役立てるとともに、chocoZAPのアプリ等のデジタルサービスにおいても、このRIZAPメソッドをAIアドバイザー等にも実装し、一人ひとりの目指したい体型に応じて効果的なリコメンデーションを実現させてまいります。

■chocoZAPについて
https://chocozap.jp/
〇コンセプト:「簡単」、「便利」、「楽しい」
〇店舗数:1,500店舗※7
〇利用料金:月額3,278円(税込)
〇特徴:2022年7月にスタートした「chocoZAP」は、「1日5分のちょいトレ・健康習慣プログラム」の開発や、運動のみにとどまらず「美容」「ライフスタイル」「エンターテイメント」など様々な分野のサービス展開を行っており、全国で1,500店舗※7、会員数は120万人※8を突破し、国内フィットネスジム会員数日本一※9を達成しています。「日本中のあらゆる人の声に寄り添い、健康で活力に溢れた社会にコミットし続けることができるサービスをご提供する」ことを目標に、より幅広いお客さまにとって身近な存在として、毎日の生活の中で健康増進に貢献するインフラ的な存在になっていくことを目指しています。
※7) 2024年5月15日時点 ※8) 2024年5月15日時点 ※9) 2023年8月15日RIZAP株式会社調べ

■会社概要
RIZAPグループ株式会社
https://www.rizapgroup.com/
所在地:〒160-0023 東京都新宿区西新宿 8-17-1 住友不動産新宿グランドタワー36階
設立日:2003年4月10日
資本金:192億44万円 (2023年3月現在)
代表取締役社長:瀬戸 健
事業内容:当社グループの中長期経営戦略の立案・遂行、グループ各社の事業戦略実行支援・事業活動の管理

