国内共同研究では「低酸素ウォーキングが血糖値変動を有意に低下」産学連携で低酸素ウェルネスR&Dを推進するハイアルチが最新エビデンスを公開
High Altitude Management Co., Ltd.のプレスリリース
肥満・過体重に伴う高コレステロール血症の改善に対し、低酸素トレーニングが有効である可能性が最新の国際研究で示されました。通常酸素下の運動と比べ、脂質プロファイル(LDL-C・非HDL-C・TGなど)および体脂肪量の改善効果が大幅に高かったことが報告されています。また血糖値コントロールにおいても、低酸素環境下のウォーキングが有意な改善をもたらすことが国内研究で明らかになっており、低酸素トレーニングは一般ユーザーに向けた非薬物介入として注目を集めています。

生活習慣病の増加と新たな非薬物介入の必要性
厚生労働省「国民健康・栄養調査」によると、日本の成人の約3人に1人が高コレステロール血症に該当し、特に肥満・過体重と併発するケースが増加しています。高コレステロール血症は動脈硬化・心血管疾患の主要リスク因子であり、医療費増大につながる社会課題です。
対策として食事・運動・生活習慣改善が推奨されている一方で、
● 脂質プロファイルが十分に改善しないことがある
● 薬物療法以外の選択肢が少ない
● 忙しい人ほど運動時間の確保が難しい
という課題が存在していました。
こうした社会的背景から、短時間・低負荷でも効果が期待できる新たな非薬物介入が求められています。

低酸素トレーニングが「脂質プロファイルと体組成(体重、体脂肪)を同時に改善」、国際研究機関が発表
1ヶ月で総コレステロール -22.6%、体脂肪量 -14.7%
こうした中、2025年11月14日に発表された International Journal of Molecular Sciences の研究では、
低酸素トレーニング(Hypoxic Training)とカロリー制限食の併用が、通常酸素下のトレーニングと比較して「脂質プロファイルと体組成(体重、体脂肪)の改善に優位な効果を示す」 ことが報告されました。
■ 研究概要
対象者:過体重・肥満で二次性高コレステロール血症を持つ身体的非活動男性 20名(平均35.3±5.4歳)
手法:無作為化比較試験
期間:1か月(4週間)
群分け:
・低酸素環境でトレーニングを行う群(H群)
・通常酸素環境でトレーニングを行う群(C群)
※両群とも同一のトレーニング内容・カロリー制限を実施
■ 主な研究結果(H群:低酸素群)
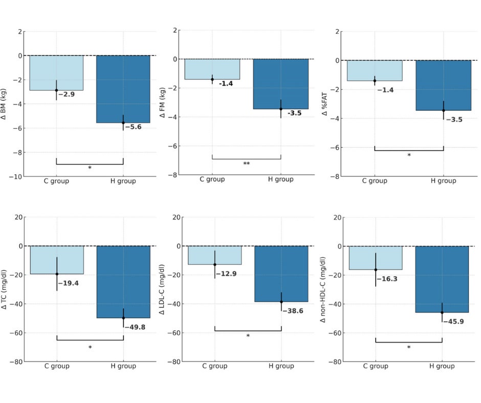
研究結果から、H群はC群と比較して、体重(-5.4% vs -2.6%、p<0.05)および体脂肪量(-14.7% vs -7%、p<0.01)において有意に大きな減少を達成した。
さらに、低酸素トレーニングは総コレステロール(-22.6%、p<0.001)、LDL-C(-25.8%、p<0.001)、非HDL-C(-26.5%、p<0.001)、およびトリグリセリド(-31.4%、p<0.01)の顕著な減少をもたらした。
また、動脈硬化指数(AIP)も有意に改善した(-24.4%、p<0.05)。
対照的に、C群では下降傾向が見られたものの、統計的に有意ではなかった。なお、HDL-Cについては両群とも有意な変化は観察されなかった。

■ 研究が示す意義
低酸素環境が生活習慣介入の効果を増幅し、脂質改善の“新しい選択肢”となる可能性
今回の研究は、低酸素下で行う間欠的トレーニングと食事制限の組み合わせが、通常酸素下のトレーニングでは得られにくい脂質プロファイル・体組成(体重、体脂肪)の改善をもたらす可能性を示しました。
高コレステロール血症は生活習慣介入が基本である一方、改善効果が限定的であることが課題とされてきました。本研究は、低酸素環境を活用することで従来の生活習慣介入の効果を大きく高められることを示唆しており、肥満関連高コレステロール血症の新たな補助療法となり得る基盤エビデンスとして期待されています。
■ 参考文献・出典
Jędrzejewski E, et al. Hypoxic Training with Calorie Restriction Improves Lipid Profile and Body Composition in Men with Obesity-Related Hypercholesterolemia: A Controlled Intervention Study.
International Journal of Molecular Sciences. 2025 Nov 14;26(22).
PMID: 41303531 / PMCID: PMC12652910
DOI: 10.3390/ijms262211048
https://pubmed.ncbi.nlm.nih.gov/41303531/
低酸素ウェルネス®のR&Dを加速させるハイアルチ
ハイアルチは、日本初*の高地トレーニング専門スタジオとして、低酸素環境を“誰でも体験できるウェルネスの選択肢”にすることをミッションに掲げています。
そのため、大学・専門研究機関・健康経営に取り組む企業との産学連携を進め、一般ユーザー向けのウェルネス領域におけるR&D(研究開発)を積極的に展開しています。
低酸素環境下のウォーキングが血糖値変動を有意に抑制
短時間・低強度の運動でも改善効果を示す可能性を共同研究で確認
山梨学院大学 スポーツ科学部スポーツ科学科 小山勝弘教授とハイアルチの共同研究により、低酸素環境下で行うウォーキングが血糖値コントロールに有効である可能性が示されました。軽強度・短時間の運動であっても、通常酸素下と比較して日常の血糖変動が有意に抑制されたことが観察され、忙しい現代人でも続けやすい“時短型ウェルネス”としての活用が期待されています。
■ 研究概要
・研究テーマ:低酸素環境下のウォーキング×血糖値コントロール
・共同研究機関:山梨学院大学 × ハイアルチ
・被験者:糖代謝異常リスクを有する女性
・介入内容:低強度ウォーキング(最大心拍60%程度)を
1回30分/週2〜3回/計8回・22日間内で実施
・評価指標:
- OGTT(経口ブドウ糖負荷試験)
- CGM(持続血糖測定)による日常の間質液グルコース濃度(IG)
・比較:常酸素環境下の運動群 vs 低酸素環境下の運動群
■ 主な研究結果
・運動期間前後の最高IG濃度の変化において、低酸素運動群のみ有意な低下を確認
・常酸素運動群では有意差は認められず、低酸素環境が血糖変動抑制に寄与した可能性
・わずか計8回・低強度・短時間の運動で効果が表れた点が特徴
低酸素環境下の運動による“時短効果”を示唆する結果となりました。
■ 研究が示す意義
本研究は、低酸素環境によって軽強度・短時間の運動でも血糖コントロールに効果が得られる可能性を示した点で重要です。
糖尿病予備群は増加し続け、運動習慣のハードルの高さが社会課題とされていますが、低酸素環境を活用することで、
・無理のない運動でも改善が期待できる
・忙しい人でも継続しやすい
という新しい介入アプローチが期待されます。
今後の研究拡大により、低酸素トレーニングが糖代謝改善の非薬物療法として活用される時代が到来する可能性があります。
■参考文献・出典
低酸素環境下の8回の運動トレーニングが 糖尿病予備群女性の間質液中グルコース濃度に及ぼす影響 :ランダム化比較試験(スポーツ科学研究,第7号,1 – 6,2024)
https://ygu.repo.nii.ac.jp/records/2000142


ハイアルチが提案する「脂質プロファイル・体脂肪・血糖値を整えるプログラム」
私たちハイアルチは、日本初*の高地トレーニング専門スタジオとして、 トップアスリートが実践してきた「低酸素トレーニング」を 一般の方の健康維持や仕事のパフォーマンス向上に活かせる形で提供しています。
これまでに、日本代表選手をはじめとする100名以上のトップアスリートを指導。その実績と科学的ノウハウをもとに、 近年は大学・研究機関との連携を強化し、一般ユーザーのウェルネスにおける効果検証を進めています。
そして、仕事や年齢に関係なく“脂肪燃焼しやすい体”を取り戻すためのプログラムを展開しています。
・週1回30分。走らないのに、効果を実感。運動が苦手でもOK
・たった30分の軽い運動でも代謝が活性化・脂肪燃焼が加速
・低酸素の専門家による安全・安心プログラム
・アスリート実績と科学で効果を証明
・専門スタッフがセミパーソナルにサポート
代謝・血流・脂質・血糖値——体の機能はすべてつながっています。
低酸素環境はそのすべてにアプローチする可能性を研究で示しており、
「短時間の軽い運動で、体の仕組みが変わりはじめる」ことが注目されています。
健康は、努力ではなく選択で変えられる時代へ。ハイアルチはその第一歩を支えます。
※自社調べ(2025年12月時点、WEB調査にて)

◆《12月が1年で最もお得》新年先取 入会キャンペーン 実施中
\12月の入会が一番お得!/
🎁 体験料 通常3,000円 → 0円
🎁 入会金 通常11,000円 → 0円
🎁 事務手数料 通常5,500円 → 0円
さらに、12月は 通い放題
さらに、NMN入りの運動効率UPサプリメント「飲むハイアルチ」もついてくる!
受付期間:12月28日(日)まで
※月途中入会の場合は会費日割り計算となります。
▶詳細はこちら:https://highalti.tokyo/kenkoshindan-kaizen

入会金・事務手数料不要、1か月限定の短期集中プラン「ウィンターパスポート」、好評発売中
【ウィンターパスポート】
・販売期間:2025年12月1日(月)~2026年1月31日(土)
・利用回数:30回(有効期限:1か月)
・金額:28,000円(税込30,800円) \入会金・事務手数料なし/
※店舗により回数/料金が異なる場合はございます。
※別途心拍ベルト代2,200円を頂戴いたします。
会社概要
会社名:High Altitude Management株式会社
所在地:東京都中央区東日本橋三丁目10番6号 Daiwa東日本橋ビル1階
代表者:坪井 玲奈
設立:2016年

