天然由来ヒト型セラミドの高機能化粧品原料化へ大きな一歩
株式会社ユーグレナのプレスリリース
株式会社サティス製薬(代表取締役:山崎智士、以下「サティス製薬」)と株式会社ユーグレナ(代表取締役社長:出雲充、以下「ユーグレナ社」)は、約30億年前※1から地球の過酷な環境を生き抜いてきた微細藻類の生命力に着目し、ユーグレナ、オーランチオキトリウム、クロレラの3種の微細藻類(図1)から、ヒト型を含む3種の超長鎖セラミドを世界で初めて発見、特許を出願したことをお知らせいたします。
今回、「外界ストレスから細胞を守るための微細藻類特有のセラミドが存在する」という仮説のもと解析を行いました。その結果、ユーグレナからセラミドAS、オーランチオキトリウムからセラミドNDS、クロレラからセラミドAP※2をそれぞれ検出しました。さらに、これらを効率的に取得する独自製法の開発にも成功しました。
これらのセラミドはいずれも、皮膚バリア機能改善効果が高い超長鎖構造を有しています。なかでもセラミドASとNDSは、天然由来素材からの入手が極めて困難な希少成分です。現在、次世代の化粧品原料として、実用化に向けた開発を進めています。

※1井上 勲.藻類30億年の自然史―藻類からみる生物進化・地球・環境(第2版).東海大学出版部,2007.
※2 AS (α-ヒドロキシアシル-スフィンゴシン);NDS (Non-ヒドロキシアシル-ジヒドロスフィンゴシン);AP (α-ヒドロキシアシル-フィトスフィンゴシン)
1) 太古の過酷環境を生き抜いてきた微細藻類
微細藻類は、太古の地球に誕生し、強烈な紫外線、乾燥、酸化ストレス、栄養欠乏といった過酷な環境下で、極めて高度な細胞防御機構を進化させながら現在まで生存しています。これまで微細藻類は、油脂や多糖類、タンパク質などを豊富に含む栄養価の高い食品素材として主に注目されてきました。一方、過酷な環境耐性において重要な役割を果たす細胞膜スフィンゴ脂質「セラミド」に着目した研究は、必ずしも多くはありませんでした。
2) 微細藻類に秘められた「皮膚様バリア脂質」への着目
陸上生物において、水分保持と外界ストレス防御は生存に関わる重要課題です。その解決策として、ヒトの皮膚は、高度な角層バリア構造を進化させてきました。その中核を担うのが多種多様な皮膚セラミドです。
ヒト皮膚に存在する遊離セラミドは、構造や長さの組み合わせにより約20クラスに分類され、鎖長の違いを合わせると1,300種以上の分子種が報告されています※3。特に炭素数が42や44(以下、炭素数の部分をCと表し、C42、C44などと記載)といった超長鎖セラミドは、皮膚以外の臓器ではほとんど見られず、皮膚特有のバリア機能を支える要となっています。
一方、太古から地球に存在する微細藻類も、ヒトと同様に乾燥や酸化といった環境ストレスにさらされ続けてきました。そこで、微細藻類が過酷な環境を耐え抜く鍵となった膜脂質構造の中に、ヒト皮膚セラミドと共通する分子特性が存在するのではないかと考え、その分析に着手しました。
※3 Suzuki M. et al. J Lipid Res. 63 (2022). Whole picture of human stratum corneum ceramides, including the chain-length diversity of long-chain bases.
3) 3種の微細藻類が含有するヒト型を含む「超長鎖セラミド」
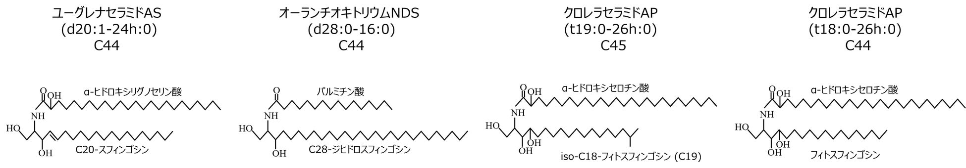
今回の検討の結果、3種の微細藻類からそれぞれ異なるセラミドの含有を確認しました(図2)。
3-1) ユーグレナ:動物皮膚特有「セラミドAS」を確認
ユーグレナは、植物と動物両方の性質を持つ特徴的な微細藻類です。複数のユーグレナ粉末からアルコールで抽出したセラミドをLC-MS等で分析した結果、動物皮膚に特有なC44のヒト型超長鎖セラミドASの存在を確認しました。さらに、独自技術により、本来は微量にしか存在しないこの成分を実用レベルまで増量することにも成功しました。
3-2) オーランチオキトリウム:極めて希少な「セラミドNDS」を確認
海洋性微細藻類であるオーランチオキトリウムのセラミド分析を行ったところ、C44のヒト型超長鎖セラミドNDSを発見しました。この成分は通常、細胞内で速やかに代謝されるため、自然界で遊離状態として蓄積することは極めて稀です。
3-3) クロレラ:強固で酸化に強い「セラミドAP」を確認
微細藻類の中でも古くから研究に用いられているクロレラからは、C44を中心とするヒト型超長鎖セラミドAPが主体として検出されました。さらに本研究では、C45という特異な構造を有する超長鎖セラミドAPをクロレラから初めて見出し、従来のセラミドとは異なる機序により皮膚ラメラ構造の安定性を高める可能性が示唆されました。
また、主要成分であるC44やC45に加え、ほかにも50種以上の多様なセラミド分子が確認されましたが、それらにおいて不飽和型がほとんど存在しないことがわかりました。クロレラ特有のセラミドは極めて秩序性の高い組成であり、強固で酸化に強いことが示唆されています。これは、柔軟性よりもむしろ硬さと耐久性が求められた太古の過酷な環境に適応した結果と考えられ、ヒトの皮膚角層に見られる「強固で、低流動性で、酸化に強い」セラミド特性と本質的に共通しており、次世代の化粧品原料として大きな可能性を秘めています。

今回の発見は、セラミドが太古より生物種を超えて生存戦略の中で選択されてきた共通の環境適応因子である可能性を示すものです。微細藻類からヒト皮膚と同じ超長鎖セラミドが見出されたことは、種の違いを超えて共通する、環境適応におけるセラミドの重要性を示唆しています。
4) 失われる皮膚セラミドと原料における課題
皮膚セラミドは、加齢や閉経、季節変化、アトピー性皮膚炎などの要因により量と質の両面で低下することが知られています。特にアトピー性皮膚炎では、セラミド量の減少、セラミド組成の変化、短鎖化が同時に生じ、バリア機能の低下を招きます。
これまで化粧品分野では、比較的短鎖な合成セラミド(C36)が主流でしたが、これはヒトの皮膚が本来もつ超長鎖セラミドとは構造的に異なるという課題がありました。また、植物や真菌由来の天然セラミドも活用されてきましたが、含まれる種類が限定的であり、ヒト皮膚セラミドの多様性を、天然素材のみで補うことは、これまで困難とされてきました。
5) 微細藻類由来セラミドが切り拓く新展開
今回発見された微細藻類由来セラミドは、C44を主体とする超長鎖構造を有しており、ヒト皮膚セラミドと高い構造的親和性を示します。これにより、角層ラメラ構造※4の再構築、脂質秩序性向上、水分蒸散量低下、表皮細胞の分化促進、炎症抑制など、多層的な皮膚バリア改善効果が期待されます。
サティス製薬は、これまで植物ヒト型セラミドAP原料、植物幹細胞セラミドNP※5原料を開発してきましたが、今回の研究で、微細藻類から新たな構造のセラミドAPに加え、セラミドASおよびセラミドNDSの抽出にも成功しました。これにより、ヒト皮膚セラミドの多様性を天然由来成分で補うという、新しいスキンケアのアプローチが可能になります。(図3)。

※4 角層ラメラ構造は、セラミドを主成分とし、コレステロールおよび遊離脂肪酸が規則的に配列した多層脂質構造で、角層細胞間隙を埋めることで形成され、水分保持能と外来刺激に対する皮膚バリア機能の中核を担っています
※5 セラミドNP(non-ヒドロキシアシル-フィトスフィンゴシン)
6) 今後の展望
微細藻類において従来注目されてきた油脂、多糖類、タンパク質の活用に加え、新たに超長鎖セラミドを効率的に回収する手法を確立することで、資源の利用効率の向上とサステナブルな産業モデルの構築が可能となります。本成果は、次世代バイオリソースとしての微細藻類の多段階活用における新たな可能性を提示するものであり、皮膚科学・美容産業における、利活用の方向性を大きく広げるものです。
サティス製薬とユーグレナ社は2024年の事業提携以降、それぞれの強みを活かして新しい化粧品の研究開発を進めてきました。サティス製薬はナチュラルで高性能、かつオリジナリティの高い化粧品原料の開発に強みを有し、ユーグレナ社は微細藻類の培養・生産技術を元に、多段階活用を拡張しております。
今後もこのセラミド生産技術を起点として、さまざまな微細藻類を活用し、健康および美容分野への貢献を目指してまいります。

