~「ブレインスリープ コイン」を活用、1年間の睡眠計測を基に分析~
株式会社ブレインスリープのプレスリリース
株式会社ブレインスリープ(本社:東京都千代田区、代表取締役:廣田 敦、以下「ブレインスリープ」)は、2025年10月4日(土)~5日(日)に京都府立京都学・歴彩館(京都府京都市)で開催された「第32回日本時間生物学会学術大会(以下、「本学会」)」にて、スタンフォード大学生体リズム研究所(SCNL)と共同で解析した「ソーシャルジェットラグおよび睡眠/覚醒リズムの規則性が睡眠指標に与える影響」の分析結果を発表しました。

■サマリー
「ブレインスリープ コイン」を用いた大規模データ分析により、“規則正しい睡眠”の重要性を裏付ける以下の結果が得られました。
1) 休日と平日の睡眠リズムのズレが大きいほど、朝の目覚めや日中の体調が悪化しやすい。
2) 日々の睡眠リズムも大切であり、睡眠リズムが不規則な人ほど寝付きが遅くなる傾向。
■背景
近年の研究や調査データにおいて、平日と休日の間の睡眠リズムが大きく乱れやすいことが確認されており、これが睡眠の質や健康リスクに直結する可能性が報告されています。特に平日と休日で睡眠リズムが大きくずれると体内リズムが乱れ、“週末の時差ぼけ”と呼ばれるソーシャルジェットラグ(社会的時差ボケ)に陥りやすくなります。
また、平日や休日に限らず、日によって異なる時間に就寝・起床する“不規則な生活”も、体内リズムの乱れや深い睡眠を妨げるだけでなく、心身の健康リスクを高める要因となることが指摘されています。
今回の「ブレインスリープ コイン」を用いた大規模データ分析では、ソーシャルジェットラグを生じる睡眠リズムのズレと身体に与える具体的な影響を明らかにし、今後より質の良い睡眠を実現するための科学的データの取得・解析を目的としました。
■概要
<発表概要>
日時:2025年10月4日(土)~5日(日)
会場:京都府立京都学・歴彩館
演題名:ソーシャルジェットラグおよび睡眠/覚醒リズムの規則性が睡眠指標に与える影響:腰に装着する活動量計を用いた大規模データ分析
<調査概要>
手法 :「ブレインスリープ コイン」を用いた調査
対象地域 :全国
対象者条件:期間中に計測した全ユーザー
サンプル数:7,419名
実施期間 :2024年1月~12月
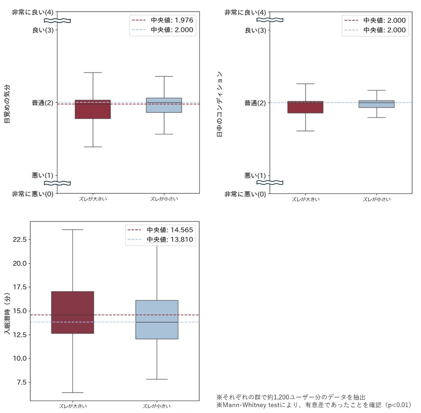
解析方法 :全データの睡眠中央時間※1を算出して、①平日と休日の睡眠中央時間のズレが大きい群と小さい群、②日々の睡眠中央時間のズレが大きい群と小さい群にそれぞれ分けて比較分析しました。統計上の有意差がみられた「目覚めの気分スコア」※2、「日中のコンディションスコア」※3、「寝つくまでにかかった時間」※4の3つの指標に絞って発表しました。
※1 入眠時刻と起床時刻の中央の時刻(例えば午後11時から午前7時まで寝た場合の睡眠中央時間は午前3時)
※2 「ブレインスリープ コイン」のアプリ上で回答する起床後の気分を5段階で評価する設問(スコアが高いほど目覚めの気分が高い)
※3 「ブレインスリープ コイン」のアプリ上で回答する測定日のコンディションを5段階で評価する設問(スコアが高いほど日中のコンディションが高い)
※4 「ブレインスリープ コイン」のデバイスで計測される測定開始から寝つくまでにかかった時間
結果① 平日と休日の睡眠リズムのズレ(ソーシャルジェットラグ)の影響
ソーシャルジェットラグが大きい人ほど目覚めの気分も、日中のコンディションも悪化することが確認されました。

ソーシャルジェットラグの大きい群(上位30%)の方が、小さい群(下位30%)と比較して、目覚めの気分スコア、日中のコンディションスコアが統計上有意に低いことが明らかになりました。
これまでもソーシャルジェットラグの影響は数々報告されており、本調査同様に朝の覚醒困難や日中の疲労感増加なども報告されています。ソーシャルジェットラグについては人口の約70%が平日と休日で1時間の睡眠リズムのズレがあり、約30%が2時間以上の睡眠ズレがあるとされています※5。本調査の結果から、少しでも平日と休日の睡眠リズムのズレを少なくすることが求められます。
※5 Roenneberg T, et al. (2012). https://doi.org/10.1016/j.cub.2012.03.038
結果② 日々の睡眠/覚醒リズムのズレ(睡眠の規則性)の影響
不規則な睡眠リズムの人ほど目覚めのコンディションが悪く、寝つくまでに時間がかかることが確認されました。

日々の睡眠リズムのズレが大きい群(上位30%)の方が、小さい群(下位30%)と比較して、目覚めの気分スコア、日中のコンディションスコアが統計上有意に低く、寝つくまでにかかった時間が統計上有意に長いことがわかりました。
睡眠リズムが不規則だと体内リズムが乱れてしまい、健康に悪影響を及ぼすことが報告されています。また、睡眠リズムの乱れは入眠困難につながり、「睡眠不足→日中のパフォーマンス低下→睡眠リズムの乱れ」という悪循環が形成されることも指摘されています。ある研究では、睡眠時間の確保よりも睡眠リズムの規則性の方が健康で長生きできるかどうかに大きくかかわるとの報告もされており※6、睡眠の“質”や“量”だけでなく、“規則性”も健康長寿のカギとなると考えられています。
※6 Windred DP, et al. (2023). https://doi.org/10.1093/sleep/zsad253
■第32回日本時間生物学会学術大会 概要
会期 :2025年10月4日(土)~10月5日(日)
会場 :京都府立京都学・歴彩館
テーマ :「Chronobiology for Life, Society, and the Earth」
会長 :京都府立医科大学 八木田 和弘
公式ホームページ:https://chronobiology.jp/
■睡眠計測ツール「ブレインスリープ コイン」とは
睡眠研究により蓄積されたデータを元に開発した独自の計測アルゴリズムを搭載した、睡眠を価値にする睡眠計測ツール。人の動きに合わせたよりパーソナルな分析が可能で、睡眠習慣の改善から、眠りのスコアがコインに変わる好循環サイクルを提案することで睡眠の質向上をサポートします。
1.測る:かつてないほど高精度な睡眠状態を分析
睡眠研究を基に独自開発したアルゴリズムを取り入れ、睡眠研究で使用されている技術を応用。今までの睡眠計測アプリケーションでは見る事が出来なかったあなたの睡眠ステージ(睡眠の深さ)、寝姿勢、いびき/環境音、寝床内温度(布団の中の温度)を明らかにします。
2.改善する:あなたに合わせたアドバイス
あなたの睡眠状態に合わせて問題点を判定し、睡眠改善に繋がるアドバイスを表示。
日々の睡眠状態に合わせて改善提案を行い、より良い睡眠のサポートをします。
3.貯まる:眠るたびにコインが貯まる
あなたの睡眠状態やより良い睡眠習慣がスリープコインに変わります。貯まったスリープコインはブレインスリープの商品の割引クーポンやアプリ内の音楽購入などに交換できます。
<商品詳細>

株式会社ブレインスリープ
【会社概要】
設立 : 2019年5月
所在地 :東京都千代田区丸の内2-7-2 JPタワー26F
代表取締役 :廣田 敦
ブランドサイト:https://brain-sleep.com/
事業内容 :ブレインスリープは、睡眠医学に基づいた確かな知見と先進のテクノロジーを掛け合わせ、脳と睡眠を科学するソリューションカンパニーです。専門家と連携した睡眠研究、オリジナルプロダクト開発、企業やクリニックへのコンサルティングなど、睡眠に特化したあらゆるソリューションで人や社会の可能性を目覚めさせることを目指します。

